高清av
高清av
高清av概况
院长寄语
高清av简介
管理团队
组织机构
历史传承
领导关怀
师资力量
在职教师
荣休教师
人才培养
本科教育
研究生教育
科学研究
科研机构
科研成果
学术期刊
学术讲座
神农书系
精选文章
党团工作
理论学习
教师支部
学生党建
团学工作
信息反馈
校友风采
毕业去向
校友动态
杰出校友
招贤纳士
招聘信息
EN
学院高清av
高清av
>
学院高清av
>
高清av公告
>
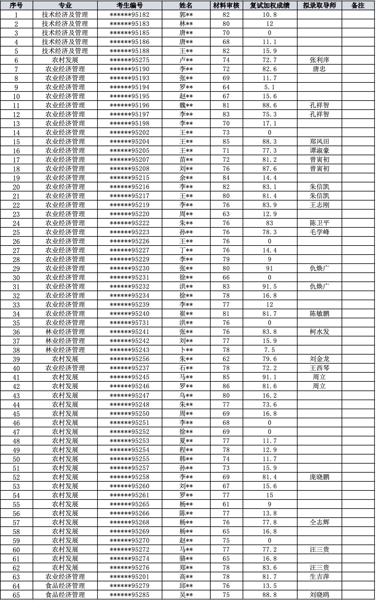
高清av 院2020年博士生复试成绩表
2020-07-03
上一篇:高清av 2020年“全国优秀大学生夏令营”营员招募通知(一)
下一篇:高清av “2020年学生科研训练计划项目” 申报通知
高清av
高清av概况
院长寄语
高清av简介
管理团队
组织机构
历史传承
领导关怀
师资力量
在职教师
荣休教师
人才培养
本科教育
研究生教育
科学研究
科研机构
科研成果
学术期刊
学术讲座
神农书系
精选文章
党团工作
理论学习
教师支部
学生党建
团学工作
信息反馈
校友风采
毕业去向
校友动态
杰出校友
招贤纳士
招聘信息